北极星输配电网讯:早在1994年,该项目组就在国际上首次公开提出了分频输电方式。如今部分发达国家正致力于改善交流线路的输送能力和特性,美、德、南非、印尼、日本对分频输电方式都非常关注。2004年加拿大已经采用世界上第一个变频电机以提高输电容量。
(来源:微信公众号 智见能源 ID:SmartEnergyView 作者:智见)
分频输电是分频输电方式,在传统的电力运输和配送中,只是改变了电压等级。实际上改变电压频率在输电中可以实现巨大经济效益。可以在较低频率条件下输电,在较高频率下用电。该技术的关键设备为倍频变压器。目前,该技术的发展方向为柔性分频输电技术。
中国科学院院士、西安交通大学博士生导师王锡凡教授指出:分频输电可望成为我国远距离水电交流输送方式的又一有效选择。分频输电方式的实质就是通过降低输电频率,从而降低线路阻抗以达到大幅度提高线路输送容量的目的。
假设以同样电压相同距离送电,采用美国先进的交流灵活输电方式,也只能提高线路30-40%的送电容量;而以分频输电方式即送电频率由50赫兹降为50/3赫兹时,理论上线路送电容量可达前者的三倍,由此能大大减少输电回路数和占地走廊。
电压和频率是电能的两个重要指标。自从发明了变压器,从发电、输电到用电,人们可以选用不同的电压等级。但频率大体只有50和60Hz。事实上,历史曾出现过,25,50/3,50,60,133Hz的电网。例如,1896年美国的布法罗水电站就采用了25Hz向纽约送电的方案。如果能在发电,输电和用电等环节采用不同的频率,则可能发挥最大的效益。例如采用较低的频率进行远距离输电可以大幅度提高线路的输送能力;若采用较高的频率是用电能,则可显著减少设备的体积和重量。
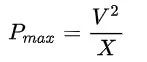
近似的交流电输送功率极限为:
其中,V为系统额定电压,X为电系统的电抗。由此可见,最大输送的有功功率与系统额定电压的平方成正比,与输电系统电抗成反比。
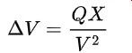
近似的电压降落率(以额定电压作为基准)公式为:
其中,Q为输送的无功功率。由此可见,在输送的无功功率一定的情况下,电压降落率与输电系统电抗成正比,与系统额定电压的平方成反比。
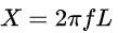
所以,为了提高输送的有功功率,减少电压降落,既可以提高系统的额定电压,也可以减小输电系统电抗,而电抗又与频率成正比( )。所以,降低输电频率可以提高输送的有功功率,减少电压降落。
从另一个角度解释分频输电原理:正弦激励下的传输线模型的电压沿传输线按照正弦波形分布,而电力传输接近光速,为3*108m/s,当频率为50Hz时,波长约为6000km,而当频率为50/3Hz时,波长约为18000km。这样,对于对1500km的传输线而言,在50Hz下,是处在1/4波长位置;在50/3Hz下,是处在1/12波长处位置,电气距离减小到原来的1/3。这是分频输电能提高输送能力的根本原因。
在同等电压等级下,频率下降后,线路等效电抗降低,降低线损从而提高输送量。这是分频输电提出的根本和前提。那么分频输电即成为了升压降流(特高压)输电,直流输电后的第三种选择方案。一般认为,直流输电目前不利于多端输出,所以一般情况下特高压和低频输电更具有可比性。拿500kV输电线路为例,若降低频率至1/3,则容量提升三倍;而靠升压降流的话达到相同效果电压等级需升到1500kV,应该是很难了,这个受到杆塔、绝缘、避雷及相关装备制造的制约,现在的特高压1000kV的输电已经是非常吃力,且技术的成熟性与可靠性倍受质疑了。
由于频率较低,所以分频输电的优势表现在与频率比较低的发电机直连的情况下(若接火电,则需要在发电机后接变频器,与直流输电造价无异)。所以其应用尤其适用于水电或风电。
从工程角度来说,很有价值,所受到的限制在于倍频器的装备制造。目前,从发展的现状看,单台风机上的兆瓦级的变频器已经是一个瓶颈,若做成输电功率等级的,难度就会更大了,电力电子方面要受制于基础的材料发展情况。
分频输电的发展方向在风电分频输电和电磁型变频器上。风机转速较慢,若可以实现低频的恒速恒频,可以省掉变速箱,还可以节省永磁的使用量,不单大大提高了可靠性,而且节省了成本,这个在当今的工程中是急需解决的问题。另外,可以在大功率电磁型倍频器上下功夫。 |